Help us help you. By posting the year, make, model and engine near the beginning of your help request, followed by the symptoms (no start, high idle, misfire etc.) Along with any prevalent Diagnostic Trouble Codes, aka DTCs, other forum members will be able to help you get to a solution more quickly and easily!

2014 Cadillac CTS (LF3 3.6L twin turbo) -MAF Low?

  • Turtle
  • Turtle's Avatar Topic Author
  • Offline
  • New Member
  • New Member
More
9 years 3 days ago - 6 years 6 months ago #8149 by Turtle
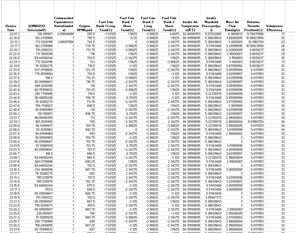
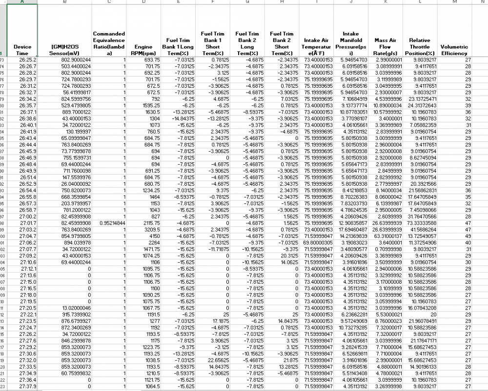
Hi all -- My car started having issues shortly after a dealer oil change. I would really appreciate some guidance on whether or not the data suggests something is off with my car and if so how to get the dealer to actually address the issue.

Car: 2014 Cadillac CTS Vsport
Engine: LF3 3.6L twin turbo; 420 HP @ 5750 RPM gmauthority.com/blog/gm/gm-engines/lf3/
Mileage: 22k

Issue:
Rough Idle, intermittent hesitations/stumbling on acceleration and removing foot from accelerator; at times sluggish. No fault codes.

MAF rate g/s (PID 10) and Volumetric Efficiency are too low (I believe). The highest MAF (g/s) I've been able to get is 137 g/s at 4750 rpm. Volumetric efficiency is maxing out in the 60s and I estimate that at peak HP it needs to be around 150. Dealer says no fault code, no problem and won't acknowledge low MAF readings "if it was low it would cause a fault code."

Background:
Car had oil changed at dealer and within 15 miles idled extremely rough and went into limp mode. Dealer said several codes and replaced ignition coil. (During this time I bought OBD scanner)

After repair car continued to have rough Idle, intermittent hesitations/stumbling on acceleration and removing foot from accelerator; at times sluggish.

Returned car to dealer for service. Dealer said could not find anything wrong and since there are no fault codes nothing they can do.

As I learn more about scan output I am now increasingly confident the MAF airflow is too low for engine and take it to dealer #2. Dealer #2 says everything is fine, no fault codes. I ask about MAF and they say if it was off it would trigger a fault code so everything is fine.

I attached a log from this mornings commute. Appreciate your time!

File Attachment:

File Name: trackLog-2...6-13.txt
File Size:132 KB



Edit: Also added GDS2 output from the dealer
Attachments:
Last edit: 6 years 6 months ago by Turtle.

Please Log in or Create an account to join the conversation.

More
9 years 3 days ago - 9 years 3 days ago #8154 by borntoroll
Replied by borntoroll on topic 2014 Cadillac CTS (LF3 3.6L twin turbo) -MAF Low?
What a nice car and what a bad dealership. 137 g/s must be something like 150 horsepower car. What about live data (fuel trims and o2 sensors response) and freeze frame data if available. What about missfire counters?
PS Sorry your txt file is too difficult to analize. Maybe make some xls file? or image file?
Where is your location?
Last edit: 9 years 3 days ago by borntoroll.
The following user(s) said Thank You: Turtle

Please Log in or Create an account to join the conversation.

  • cheryl hartkorn
  • cheryl hartkorn's Avatar
  • Offline
  • Platinum Member
  • Platinum Member
More
9 years 3 days ago #8157 by cheryl hartkorn
Replied by cheryl hartkorn on topic 2014 Cadillac CTS (LF3 3.6L twin turbo) -MAF Low?
is the air filter/ intake snorkel on correctly? when you went to get the oil changed they probably checked it to try and sell one to you.
The following user(s) said Thank You: Turtle

Please Log in or Create an account to join the conversation.

  • Turtle
  • Turtle's Avatar Topic Author
  • Offline
  • New Member
  • New Member
More
9 years 3 days ago - 9 years 3 days ago #8158 by Turtle

borntoroll wrote: What a nice car and what a bad dealership. 137 g/s must be something like 150 horsepower car. What about live data (fuel trims and o2 sensors response) and freeze frame data if available. What about missfire counters?
PS Sorry your txt file is too difficult to analize. Maybe make some xls file? or image file?
Where is your location?


Thanks for your reply -- I feel less crazy now because I have been banging my head trying to explain to the dealer there is no way the MAF rate could be that low with the cars' HP.

Excel should be able to open the text file (it is tab delimited); I also added a couple screenshot of the data in case you are not able to open it.

I'm in Nashville.

In terms of misfires, they do occur and are generally synchronized with the hesitation/stumbling. They are frequent, typically a low current value (1 or 2) value and across all cylinders though some more than others. I think the highest current misfire count on one cylinder I have hit is 8.

I also have a paper print off of the dealers GDS2 output; I'll scan and upload that when I have a chance.
Last edit: 9 years 3 days ago by Turtle. Reason: Added misfire info.

Please Log in or Create an account to join the conversation.

  • Turtle
  • Turtle's Avatar Topic Author
  • Offline
  • New Member
  • New Member
More
9 years 3 days ago #8159 by Turtle

cheryl hartkorn wrote: is the air filter/ intake snorkel on correctly? when you went to get the oil changed they probably checked it to try and sell one to you.


I am not even sure where to look but I will try to find out!

Please Log in or Create an account to join the conversation.

More
9 years 3 days ago #8161 by borntoroll
Replied by borntoroll on topic 2014 Cadillac CTS (LF3 3.6L twin turbo) -MAF Low?
Something catches eye immediately like negative fuel trims, -40 oil temp sensor (either scan tool can't read it or it is unpluged), engine oil pressure - 0 (scantool ?), 58% engine load while idle for a 420hp engine. Can you log stft ltft rpm maf map at idle, 2000, 3500 on a warmed up engine.
The following user(s) said Thank You: Turtle

Please Log in or Create an account to join the conversation.

  • GeekDIYMechanic
  • GeekDIYMechanic's Avatar
  • Offline
  • Premium Member
  • Premium Member
More
9 years 2 days ago #8163 by GeekDIYMechanic
Replied by GeekDIYMechanic on topic 2014 Cadillac CTS (LF3 3.6L twin turbo) -MAF Low?
Unfortunately, the text file was hard to process.

I wonder why the oil temperature is -40 when the ECT is at 147. That is weird. I don't think that would be used to fuel trims but maybe it is.

Please Log in or Create an account to join the conversation.

  • GeekDIYMechanic
  • GeekDIYMechanic's Avatar
  • Offline
  • Premium Member
  • Premium Member
More
9 years 2 days ago #8164 by GeekDIYMechanic
Replied by GeekDIYMechanic on topic 2014 Cadillac CTS (LF3 3.6L twin turbo) -MAF Low?
How did you calculate g/s to hp?

I would think that little trick would be useful. I have the hardest time determining what the G/S should be for a car at idle and WOT.

Please Log in or Create an account to join the conversation.

  • Turtle
  • Turtle's Avatar Topic Author
  • Offline
  • New Member
  • New Member
More
9 years 2 days ago #8172 by Turtle

borntoroll wrote: Something catches eye immediately like negative fuel trims, -40 oil temp sensor (either scan tool can't read it or it is unpluged), engine oil pressure - 0 (scantool ?), 58% engine load while idle for a 420hp engine. Can you log stft ltft rpm maf map at idle, 2000, 3500 on a warmed up engine.


Thanks for the help.

This is warm engine with idle, 2k, and 3.2k.
www.scanshare.io/share/Q6xKBWkEoU_B-PRsBNGSnA#0,1,2,3,4,5,6

This is whole set which is part city/highway driving.
www.scanshare.io/share/yYnJtKu6t0m0vk7sn_iLPA#0,1,2,3,4,5,6

Please Log in or Create an account to join the conversation.

  • Tyler
  • Tyler's Avatar
  • Offline
  • Moderator
  • Moderator
  • Full time HACK since 2012
More
9 years 2 days ago #8176 by Tyler
Hey, I love to see ScanShare links! B) Nice.

I also noticed the negative fuel trims at idle right away. Typical of the dealer, unfortunately - no code, no problem. :angry: Since you've got access to scan data, can you grab some Global stuff for me? Specifically engine speed, throttle position, absolute load, calculated load, MAP, and both upstream O2 sensors during a WOT run through first and second gears. A highway on-ramp, basically.

Absolute load is especially valuable on forced induction engines, as it's basically a volumetric efficiency calculation, and allows for values higher than 100%. I'm hoping that the calculated load and absolute load PIDs will help us distinguish between an air measurement problem, and a genuine volumetric efficiency problem.

I'm with Cheryl, this screams intake plumbing problem to me. Something got disconnected and is causing the MAF to lie. I know because I've done it. :lol:
The following user(s) said Thank You: Turtle

Please Log in or Create an account to join the conversation.

More
9 years 2 days ago - 9 years 2 days ago #8179 by borntoroll
Replied by borntoroll on topic 2014 Cadillac CTS (LF3 3.6L twin turbo) -MAF Low?

Turtle wrote: This is warm engine with idle, 2k, and 3.2k.
www.scanshare.io/share/Q6xKBWkEoU_B-PRsBNGSnA#0,1,2,3,4,5,6

This is whole set which is part city/highway driving.
www.scanshare.io/share/yYnJtKu6t0m0vk7sn_iLPA#0,1,2,3,4,5,6

Strange readings like stft goes to +25 and the next moment 0, jumping to much, maf numbers with steady rpm jump up and down even to 0,69g/s during 2400rpm. Can we believe this scanshare?

g/s to: hp roughly = g/s / 0.82 , I also have such a log for a 200 hp car and max g/s reading there is 180 g/s
Last edit: 9 years 2 days ago by borntoroll.

Please Log in or Create an account to join the conversation.

  • Tyler
  • Tyler's Avatar
  • Offline
  • Moderator
  • Moderator
  • Full time HACK since 2012
More
9 years 2 days ago #8193 by Tyler

borntoroll wrote: Strange readings like stft goes to +25 and the next moment 0, jumping to much, maf numbers with steady rpm jump up and down even to 0,69g/s during 2400rpm. Can we believe this scanshare?

g/s to: hp roughly = g/s / 0.82 , I also have such a log for a 200 hp car and max g/s reading there is 180 g/s


I don't believe the short term spikes to be unusual, as that's typical behavior from newer GM's. We had a similar discussion about a 2015 Sonic here .

I think most of the MAF 'spikes' are actually normal ramps, but look that way due to the length of the data capture. I also see the .69 g/s MAF readings correlated with the throttle closing. Or, what I believe to be closed throttle, anyway. No direct TPS measurement to confirm it.

Please Log in or Create an account to join the conversation.

  • Turtle
  • Turtle's Avatar Topic Author
  • Offline
  • New Member
  • New Member
More
9 years 2 days ago - 9 years 2 days ago #8205 by Turtle
Everyone thanks for the help on this, you all rock! :)

Tyler wrote: Hey, I love to see ScanShare links! B) Nice.

I also noticed the negative fuel trims at idle right away. Typical of the dealer, unfortunately - no code, no problem. :angry: Since you've got access to scan data, can you grab some Global stuff for me? Specifically engine speed, throttle position, absolute load, calculated load, MAP, and both upstream O2 sensors during a WOT run through first and second gears. A highway on-ramp, basically.

Absolute load is especially valuable on forced induction engines, as it's basically a volumetric efficiency calculation, and allows for values higher than 100%. I'm hoping that the calculated load and absolute load PIDs will help us distinguish between an air measurement problem, and a genuine volumetric efficiency problem.

I'm with Cheryl, this screams intake plumbing problem to me. Something got disconnected and is causing the MAF to lie. I know because I've done it. :lol:


Thanks Tyler - Great thinking -- absolute throttle hits around where I'd expect VE to be.
I grabbed the wrong O2 PIDs so I will have to get those to you for next scan.

WOT1 - Short www.scanshare.io/share/4tV5NQFSo0icBmggtzyotw#0,2,3,4,10,12

WOT2 - www.scanshare.io/share/dDqoMRjMoU2R20yq3nrS-g#0,2,3,4,10

*Second run logging starts on row 4580

File Attachment:

File Name: trackLog-2...2CSV.txt
File Size:1,892 KB
Attachments:
Last edit: 9 years 2 days ago by Turtle.

Please Log in or Create an account to join the conversation.

  • Tyler
  • Tyler's Avatar
  • Offline
  • Moderator
  • Moderator
  • Full time HACK since 2012
More
9 years 1 day ago - 9 years 1 day ago #8209 by Tyler

Turtle wrote: Thanks Tyler - Great thinking -- absolute throttle hits around where I'd expect VE to be.
I grabbed the wrong O2 PIDs so I will have to get those to you for next scan.

WOT1 - Short www.scanshare.io/share/4tV5NQFSo0icBmggtzyotw#0,2,3,4,10,12

WOT2 - www.scanshare.io/share/dDqoMRjMoU2R20yq3nrS-g#0,2,3,4,10

*Second run logging starts on row 4580

File Attachment:

File Name: trackLog-2...2CSV.txt
File Size:1,892 KB


Ouch, I really wasn't expecting to see those numbers. :blush:



Good Load and Absolute values, IMO. Still, like borntoroll said, the MAF rate does seem low. :unsure: To be honest, I don't work with MAF rates very much. I usually go straight for the voltage or frequency PIDs, or just Calc. Load.

Just to test the MAF theory, I went and wound out my Escape 3.0L. First capture is OEM data, second is Global.

www.scanshare.io/share/xW1TJab0Kk_f6Xs1l_g9xg#0,1,2,3,4,5



www.scanshare.io/share/zpxoaMOHiEOgo86I8BZJqA#0,1,2,3,4,5



I refuse to believe that the grocerymobile breathes better than your twin turbo. :lol: What's going on with this thing? :blink:
Attachments:
Last edit: 9 years 1 day ago by Tyler. Reason: derp

Please Log in or Create an account to join the conversation.

  • Noah
  • Noah's Avatar
  • Offline
  • Moderator
  • Moderator
  • Give code definitions with numbers!
More
9 years 1 day ago - 9 years 1 day ago #8219 by Noah

Tyler wrote:

Turtle wrote: Thanks Tyler - Great thinking -- absolute throttle hits around where I'd expect VE to be.
I grabbed the wrong O2 PIDs so I will have to get those to you for next scan.

WOT1 - Short www.scanshare.io/share/4tV5NQFSo0icBmggtzyotw#0,2,3,4,10,12

WOT2 - www.scanshare.io/share/dDqoMRjMoU2R20yq3nrS-g#0,2,3,4,10

*Second run logging starts on row 4580

File Attachment:

File Name: trackLog-2...2CSV.txt
File Size:1,892 KB


Ouch, I really wasn't expecting to see those numbers. :blush:



Good Load and Absolute values, IMO. Still, like borntoroll said, the MAF rate does seem low. :unsure: To be honest, I don't work with MAF rates very much. I usually go straight for the voltage or frequency PIDs, or just Calc. Load.

Just to test the MAF theory, I went and wound out my Escape 3.0L. First capture is OEM data, second is Global.

www.scanshare.io/share/xW1TJab0Kk_f6Xs1l_g9xg#0,1,2,3,4,5


I refuse to believe that the grocerymobile breathes better than your twin turbo. :lol: :blink:

If you're hitting 6200 rpm in your little car port, it just might :woohoo:! ( j/k, I see the VSS pid)
I like Cheryl's thought about the intake duct work. It makes sense they may have opened it up to the check the filter and not put the box back on good enough. (I also have been down that road :blush: )

"Ground cannot be checked with a 10mm socket"
Last edit: 9 years 1 day ago by Noah.

Please Log in or Create an account to join the conversation.

  • Tyler
  • Tyler's Avatar
  • Offline
  • Moderator
  • Moderator
  • Full time HACK since 2012
More
9 years 1 day ago - 9 years 1 day ago #8241 by Tyler

Noah wrote: If you're hitting 6200 rpm in your little car port, it just might :woohoo:! ( j/k, I see the VSS pid)
I like Cheryl's thought about the intake duct work. It makes sense they may have opened it up to the check the filter and not put the box back on good enough. (I also have been down that road :blush: )


You get some weird looks accelerating that hard in an Escape around here. :lol:

Maybe I'm thinking of this the wrong way? :huh: Maybe we should be looking at the data during the symptoms:

Rough Idle, intermittent hesitations/stumbling on acceleration and removing foot from accelerator; at times sluggish.

Last edit: 9 years 1 day ago by Tyler. Reason: quotes are hard

Please Log in or Create an account to join the conversation.

  • Turtle
  • Turtle's Avatar Topic Author
  • Offline
  • New Member
  • New Member
More
9 years 2 hours ago #8308 by Turtle

Tyler wrote:
I refuse to believe that the grocerymobile breathes better than your twin turbo. :lol: What's going on with this thing? :blink:


Thanks for posting and I hope we find out!

I did another run and calculated the MAF rate based on the MAP and Absolute Load data and it is right about where airflow should be. www.scanshare.io/share/0uT3AV2-T0endljRBOiiHA#3,9,13,14

Also as an aside; while my car was at the dealer I was driving a XTS with a 304 hp @ 6800 LFX 3.6 -- which is a naturally aspirated and the engine the LF3 built on -- with that car I hit a MAF rate of 209 g/s @ 6,000 rpm, right where it should be.

For whatever reason the O2 values don't log but I took screenshots at idle which you will find attached.

Tyler wrote: Maybe I'm thinking of this the wrong way? :huh: Maybe we should be looking at the data during the symptoms:


It seems the reader displays the data at a faster rate than it logs -- are there any data points you suggest including to keep an eye on?

Rough Idle
-- intermittent; 20-30% of time; warm and cold
--Noticed correlation with data: the roughness correlated with the irregular 02 movements


Feeling of hard shift (that isnt a shift)
--Occasional; 5% of time; warm and cold
--Accelerating at parking garage type speeds
--Noticed correlation with data: Misfire

Stumbling/Hesitation
--Common depending on RPMs; warm and cold
--Most noticible in congested traffic type speeds and starting at 800-1500 rpm range and ending below 2000 rpm
--May have hesitation
--Notice correlation with data:
----Typically a misfire
----The stumbling upon removing foot from accelerator may be correlated with the low (sub 2) MAF readings g/s

The car generally feels good at WOT and high speeds.
Attachments:

Please Log in or Create an account to join the conversation.

  • Tyler
  • Tyler's Avatar
  • Offline
  • Moderator
  • Moderator
  • Full time HACK since 2012
More
8 years 11 months ago #8338 by Tyler

Thanks for posting and I hope we find out!

I did another run and calculated the MAF rate based on the MAP and Absolute Load data and it is right about where airflow should be. www.scanshare.io/share/0uT3AV2-T0endljRBOiiHA#3,9,13,14


Wow, I've never seen those calculated MAF PIDs before! :ohmy: I'd be very interested to know if that's a feature of the OEM data, or of the scanner you're using.

Anyway, it's still confusing. :unsure: The MAF says there's an airflow problem, but the Calculated and Absolute Load insist everything is fine. I'm gonna go out on a limb and say there's no breathing problem, even though I initially suspected a problem with the intake plumbing. :blink: I might be WAY wrong, but I tend to trust those PIDs. Plus, you mentioned this:

The car generally feels good at WOT and high speeds.


I feel that tends to suggest good engine breathing. NOT saying the MAF is performing correctly, I don't have an answer for that yet. :lol:

It seems the reader displays the data at a faster rate than it logs -- are there any data points you suggest including to keep an eye on?


The upstream O2's (of course), engine load, RPM, short and long term trims, MAF and MAP. Just the usuals. :cheer: I'd be especially interested to see the O2 readings you mentioned here:

Rough Idle
-- intermittent; 20-30% of time; warm and cold
--Noticed correlation with data: the roughness correlated with the irregular 02 movements

Please Log in or Create an account to join the conversation.

  • Turtle
  • Turtle's Avatar Topic Author
  • Offline
  • New Member
  • New Member
More
8 years 11 months ago #8368 by Turtle

Tyler wrote:


Wow, I've never seen those calculated MAF PIDs before! :ohmy: I'd be very interested to know if that's a feature of the OEM data, or of the scanner you're using.


I calculated them out just based on formulas -- I can send you the spreadsheet I made if interested. The variables with the largest impact are MAP reading and volumetric efficiency, which I used the absolute load as reference point. I used this site for the foundation of a lot of calcs www.epi-eng.com/piston_engine_technology...etric_efficiency.htm .

Tyler wrote:

Anyway, it's still confusing. :unsure: The MAF says there's an airflow problem, but the Calculated and Absolute Load insist everything is fine. I'm gonna go out on a limb and say there's no breathing problem, even though I initially suspected a problem with the intake plumbing. :blink: I might be WAY wrong, but I tend to trust those PIDs. Plus, you mentioned this:

The car generally feels good at WOT and high speeds.


I feel that tends to suggest good engine breathing. NOT saying the MAF is performing correctly, I don't have an answer for that yet. :lol:


Not sure if you saw the PDF's in my prior post that have the 02 and the movemetns correlate with rough idle
scannerdanner.com/media/kunena/attachmen...Example1_o2-Copy.pdf
scannerdanner.com/media/kunena/attachmen...Example2_02-Copy.pdf

As always, thankn you for helping me!

Please Log in or Create an account to join the conversation.

More
8 years 11 months ago #8455 by tiride62
Two questions, did you get this fixed yet? I feel like I'm reading a mystery novel and I'm waiting to find out who did it. My other question is the long term fuel trims in the Global data showed -18 both banks but also showed -5 and -7 I think "without purge". Does that mean the goofy fuel trim numbers where with the evap system purging and if so wouldn't that be expected since the engine is being fed fuel vapors from the canister? I'm new to this stuff so if I've asked a dumb question I apologize. For what it's worth my thought was blockage in the air intake system, I pictured a shop rag in the air intake tube.

Please Log in or Create an account to join the conversation.

Time to create page: 0.498 seconds